Skip to content
  • Wed. Apr 15th, 2026
JK News Today
  • News
    • Jammu & Kashmir
    • National
  • Politics
  • Defence
  • City
  • Infotainment
  • Business
  • More
    • Categories
      • Ladakh
      • Jobs
      • Education
      • Sports
      • Breaking News
      • Featured
      • Video
    • Social
      • Facebook
      • Twitter
      • YouTube
      • WHATSAPP GROUP
    • Pages
      • About Us
      • Contact Us

 

 

Breaking News Jammu & Kashmir

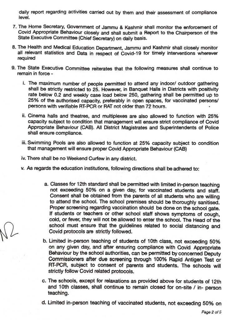
Fresh Covid guidelines for Jammu and Kashmir

Jan 2, 2022

Jk News Today

Jammu, January 02:

Post navigation

Lt Governor chairs special meeting of SMVDSB
BSF kills ‘infiltrator’ in Arnia Sector of Jammu

Related Post

Breaking News Jammu & Kashmir

Four more IAS officers sent to J&K

Apr 14, 2026
Jammu & Kashmir News

Shri Machail Mata Ji Temple reopens: Div Com, IGP Jammu pay obeisance at Revered Shrine

Apr 14, 2026
Breaking News National

Trump calls PM Modi, discuss West Asia situation and call for uninterrupted shipping through Strait of Hormuz

Apr 14, 2026

World

Top News World

Trump tells The Post US-Iran talks ‘could be happening over next two days’, reports New York Post.

Apr 14, 2026
Top News World

China steps into Middle East conflict , says ready for development and security of Gulf States.

Apr 14, 2026
Top News World

Iran- US trading notes on nuclear moratorium to resumeFace to Face talks

Apr 14, 2026
Join Whatsapp Group
To get latest news updates on WhatsApp send WhatsApp message to +91 9419167744
JK News Today

Copyright © 2016 JK News Today. All rights reserved.